A research group led by Professor Zhensu She in the College of Engineering of Peking University has made a significant progress in the study of compressible turbulent boundary layers (CTBLs). In their paper published lately in Physical Review Letters (http://link.aps.org/doi/10.1103/PhysRevLett.109.054502), doctoral student Yousheng Zhang and researcher Weitao Bi, together with co-workers from the University of Houston and the Institute of Mechanics, Chinese Academy of Sciences, have proposed a new Mach-number-invariant form, which derives a Mach-number-invariant mean-velocity profile for CTBLs, and hence further develops the classical Morkovin’s hypothesis with an improved van Driest transformation.
CTBLs are ubiquitous in high speed flights, and its study is extremely important to determine the aerodynamics, thermodynamics and aero-optical performance of a high speed vehicle. The complex interplay of Mach number (M), Reynolds number (Re), wall temperature condition, pressure gradient and other factors in CTBLs pose great challenges to the turbulence community in both understanding the physical mechanism and developing turbulence models for engineering applications. The study typically takes zero-pressure-gradient, adiabatic CTBLs as an idealized model setting of real flows, and focuses on the M-effect.
Extensive studies on the M-effect of CTBLs has been conducted since 1940s, among which a landmark achievement is the Morkovin’s hypothesis, which claims that, at moderate Mach numbers (M<5), the mean profiles of CTBLs can retain their incompressible forms provided that they are “properly rescaled” by the wall-normal variation of the mean fluid properties (i.e. the mean density, viscosity, and thermal conductivity). Morkovin’s hypothesis is very powerful since the property of CTBLs can thus be derived from that of corresponding incompressible flows, which have more accumulated knowledge. Although Morkovin’s hypothesis has been widely accepted and become the foundation of compressible turbulence research, two critical issues have not been addressed hitherto: (1) How to define an appropriate Reynolds number (Re) for discussing the M-effect? (2) How to “properly rescale” a mean flow quantity by using the local fluid properties?
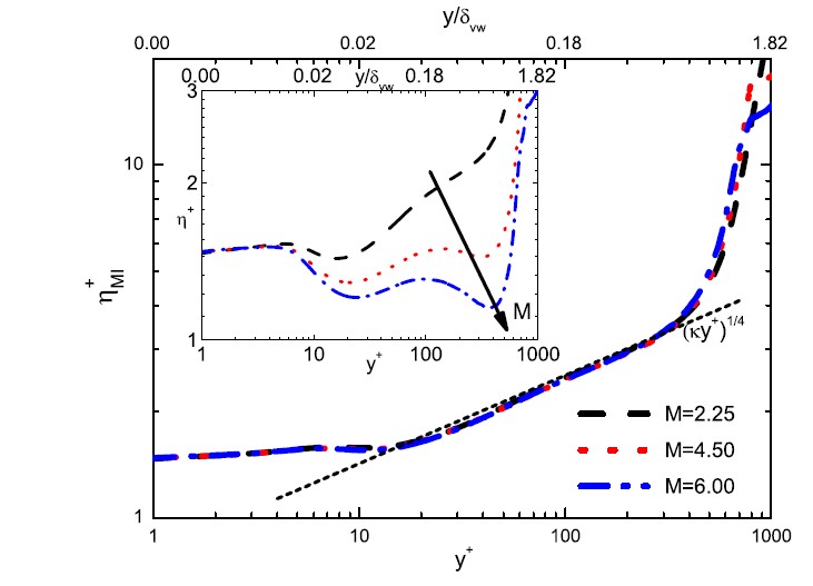
Figure 1 Comparison between the original (inset) and the density-and-viscosity rescaled Kolmogorov dissipation lengths.
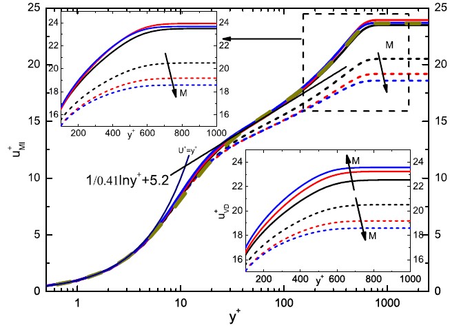
In the past few years, Prof. Zhen-Su She developed a theory called “structure ensemble dynamics” (SED), which provides a systematic framework for quantifying complex turbulent flows. An application of the SED yields an “invariant multilayer model”, which is here applied to CTBLs study and yields new proposals to answer the above two questions, as presented in the current PRL paper. The conclusions of the paper are: (1) CTBLs have a M-invariant four-layer structure, from which a well-defined boundary layer thickness and thus a Re can be introduced to study the M-effect of CTBLs; (2) Prandtl’s mixing length and the Kolmogorov dissipation length are among the quantities which have M-invariant scalings (see Figure 1). These M-invariant quantities substantiate Morkovin’s hypothesis, and suggest a new proposal of using the viscosity, instead of density, to rescale mean flow quantities. (3) There is a viscosity-weighted transformation for the mean-velocity profile (MVP) of CTBLs (see Figure 2). It is shown that the transformation collapse the whole MVPs at different M, more effective than the classical density-weighted van Driest transformation.

Figure 2 Comparison between the new viscosity-weighted transformation and the classical density-weighted van Driest transformation (lower right inset).
This study was supported by NSFC under Grants No. 90716008 and No. 10921202, MOST 973 Project No. 2009CB72410, and CAS Program No. KJCX2-EW-J01, and benefited from the computational resources provided by SSC (Shanghai) and NSCC (Tianjin).